星露谷物语怎么玩全方位解读(星露谷物语如何进行高级探索)

作者:王子饼干,《多洛可小镇》制作人
首发知乎,https://zhuanlan.zhihu.com/p/473043388
一、前言
在制作我的模拟经营类游戏《多洛可小镇》的过程中,初期的很多脚手架功能设计都来源于对《星露谷物语》《夜勤人》《守墓人》等模拟经营向游戏设计的参考。在长时间的探索和总结之后,有了一些自己的心得,所以在这篇文章中,做一个简单的笔记,作为节点性的知识总结。
在这篇文章中,我会对星露谷物语和与之类似的模拟经营向游戏做一个深度的分析,试图用比较通俗的语言解释清楚如何做一个模拟经营向游戏的策划。
在学习和探索的过程中,我也深刻认识到了自己的不足,故这篇文章的标题虽然是深度解析,但是这个深度更多还是体现在分析的观点和层次上,对于内容本身,可能还有很多欠缺的地方,只是我一家之言。所以如果有什么地方说的有问题,希望大家指正。对于我的拙见和谬论,还请大家多多包涵。
二、对模拟经营类游戏的定性困难
模拟经营向的游戏玩法是一个非常模糊的概念,有的时候很难说清楚它的核心元素到底是什么,是一个相对抽象的概念。提出一个简单的设想,假设在一个经典的JRPG游戏中增加种田要素,它算不算是模拟经营向游戏?由于RPG本来就具有很强的养成性,如果不仅可以种田,还能自己买一个房子来放置家具,结果似乎跟模拟经营类游戏有那么几分相似。它究竟算不算是,这个结果先按下不表,回头再来解释。
2.1 核心出发点是资源
游戏是一个强调互动性的数字产品,从互动性出发,大部分的游戏都可以理解为一组由玩家来执行的选择,在ACT游戏中,玩家需要在不同的时机下使用不同的技能,在策略游戏中,玩家需要在不同的情况下使用不同的战术,如果一个游戏没有任何选择,只有纯粹的画面,那么它看起来更像是一个视觉小说或者一部电影。
而在模拟经营类游戏中,玩家需要决定的是游戏中所获得资源该如何分配利用。这个资源是一个抽象概念,它有可能是玩家赚取的金币、获得的能量,或者采集到的素材。具体则要根据游戏的机制设计,比如在早期的开罗游戏中,资源基本上都是金币。玩家需要根据这些金币来经营一家店铺或者维护一个城镇。那么游戏的整个过程就是玩家在不同的时间段,选择建造的建筑或要升级的设备。玩家需要根据性价比、当前的随机事件(如果存在的话)、已经存在的建筑等来考虑自己的选择。
所以要引出的第一个很重要的观点就是,模拟经营类游戏必须提供一个资源产出机制。比如在星露谷物语中,游戏中的资源产出则是通过系统提供的伐木或者种植等游戏功能,所产出的资源除了金币还有木材或者蔬菜等具体的道具。
2.2 资源的利用
既然有了资源和一个资源的产出机制,那么产出的资源必然会有用处,无用的道具可以存在,但是不至于整个游戏都是无用的道具。对资源的运用将是模拟经营类游戏的重头戏,因为这就是这类游戏的乐趣所在,也就是玩家需要选择,在当前这个游戏过程中,手头的资源应该如何运用。
对资源的运用必须带来不同的反馈,这很好理解,如果玩家所有的选择反馈都是一样的,那么任何选择都会没有意义,也就不需要玩家去做出选择了。所以这个问题自然而然就成了,如何产生反馈?也就是游戏是如何奖励或者惩罚玩家的选择的。
这就来到了最最核心的问题了,即游戏是否要让对资源的运用,反馈到资源的产出机制上,一旦游戏所提供的资源产出机制可以通过产出的资源来进行升级。它就满足了模拟经营类游戏最基本的要求,即经营概念。
所以可以根据上面的观点,来构建下面这个简单的循环。

可以尝试用这个图来解释其他模拟经营类游戏,比如星露谷物语的图可以解释为下图:

简单来说,星露谷物语提供一片农场,可以种植很多的作物,种完作物之后可以丢到回收箱里换成钱。有了钱之后,可以用来购买各类道具或者设备等来升级自己的农场,以此来加强农场的产出能力。这个图的逻辑非常简单,养成性更多集中在升级农场上。
这里的升级是广义的,实际上星露谷物语的设备并没有等级1或者等级2的概念。如果玩家原来只有一个熔炉,现在又造了一个,提高了农场的产出效率,这也算是升级。
至此,可以回答上面那个设想,一个JRPG类型的游戏增加种田元素,它不能算作模拟经营类游戏,因为不清楚的是种田是否被衔接到了一个上述的循环之中。
2.3 漏洞是模拟
但是上述定义不够完善,先复述一下定义:
模拟经营游戏会提供一种资源产出机制,对资源的运用会带来不同的反馈,而这些反馈主要影响着游戏所提供的产出机制。
这个定义的漏洞在于它太抽象了,导致很多游戏都可以套用该定义。比如《怪物猎人·世界》。怪物猎人提供了一组副本,副本可以产出怪物素材,对素材的利用可以打造不同的装备,而装备则可以改善玩家刷副本的效率。

可以看见,怪物猎人也可以套用这个定义,但是怪物猎人是共斗类游戏,与噬神者、讨鬼传类似。不能归类为模拟经营类游戏。那么这里面所忽略的点,更多的在于模拟。
说到模拟,可以想到的是各种模拟器类型的游戏,比如中国式家长、恋爱模拟器、武器店物语、模拟农场、装机模拟器等。
这就是模拟经营定性的困难,如果将模拟的范围扩大到对战斗的模拟,那么是不是怪物猎人也可以算是模拟经营类游戏。正因为模拟这个词本身就很抽象,和经营一样,它是一个动词,需要给它增加一个宾语,它才会有实际的意义,比如模拟山羊(山羊模拟器),或者模拟一棵树(树模拟器),又或者模拟飞行(微软飞行模拟器)。
所以在满足经营的情况下,对模拟这个词的范围限定会成为定义模拟经营类游戏的条件。
2.4 对模拟经营与沙盒生存区别的简单思考
模拟经营并不需要一定存在建造的概念,但是现代化的模拟经营类游戏都或多或少存在一些以建造为主的沙盒性要素,比如星露谷物语可以建造设备、森林中的小女巫可以重建小镇、守墓人可以建造自己的地下室和农场。和模拟经营类游戏类似,沙盒生存类游戏也存在很强的建造系统。所以两者的核心区别是什么呢?
这个问题会成为一个指导要素,影响到这两个游戏类型的方方面面。个人认为沙盒生存类游戏应该是纯沙盒建造的子类型。因为前者带有比较强的目的性,即生存。典型沙盒生存类游戏比如《环世界》《我的世界》《森林》《饥荒》等。
接下来就是由于生存概念所引发的一系列的连锁反应。
2.4.1 敌人、冲突性和建造动机
如果一个生存类游戏和建造概念绑定,当玩家的基地完善时,玩家抵御风险的能力会逐步加强。在这个过程中,如果没有任何冲突的话,那么游戏就像是一个需要到各处搜集素材的纯建造类游戏,这样不是不可以,但是整体的游戏节奏感会难以把握,也无法营造玩家的情绪波动,为了突出游戏的生存概念,加强互动性和带来某些防御性建造物的动机,生存类游戏往往会给玩家刷一些敌人。
环世界中,时常会有袭击事件
我的世界中,夜晚会刷僵尸
森林中,会随机的在周围刷野人和变异的实验体
饥荒中,时常会有猎犬袭击
2.4.2 素材收集、探索性和超大世界
除了一些系统故意刷出来的敌人,为了让玩家主动出去冒险,往往系统不会给玩家较强的自我生产能力,因为一旦玩家的可以自给自足,比如在饥荒中弄一片农场就可以养活自己的话,那么整体的游戏设计将出现矛盾。所以在生存类游戏中出现的可以反复刷新的有效素材会更少,产出效率更低。以及为了支持玩家对地图的探索和素材产出点的放置,整个世界往往会比较大。
2.4.3 以素材为主的科技解锁体系
在模拟经营类游戏中,科技树的解锁往往是通过点数来实现的,比如夜勤人与守墓人。但是在沙盒生存类游戏中,科技树更多是直接通过素材来解锁,或者上来就是全部解锁的状态,但是需要提供素材来建造。典型的就是饥荒和我的世界这样,提供一个工作台,所有的科技都由工作台提供,玩家的任务只是刷素材。而更过一点就是像森林一样,所有科技都是直接解锁的,只要玩家有素材就可以造。这点也可以解释生存类游戏中素材产出的效率要远低于模拟经营类游戏。
2.4.4 反过来说
所以,模拟经营就好像是一个对立面一样,它没有生存类游戏的紧张,由于素材的产出都集中在农场或者玩家需要维护的那片区域,所以整个世界往往较小,比如前面说到的星露谷物语、夜勤人、守墓人、森林中的小女巫等。
而正因为世界比较小,没有空间上的广度探索,就需要时间上的深度探索,为了表达时间变化的概念,所以自然而然地会诞生一个可以演绎时间的概念,比如构建一个主城,将世界的运动转换为主城的变化,这个主城可以是一个小镇子,一个村子或者一个城市。同样,系统的功能不会以UI的形式直接派发给玩家,而是散落到城镇里的所有Npc,这样可以提高游戏的沉浸感和加强生活模拟的质感。且由于玩家获得素材的方式较为简单,因而模拟经营类游戏更喜欢通过点数或者经验值来提升科技树。
当然,以上这些针对模拟经营类游戏与沙盒生存类游戏的区别,更多的是建立在对现在比较主流游戏案例的分析之下所产生的,不能覆盖到所有的个例,肯定有某些特殊案例不符合上述描述。

2.4 小结
通过尝试对模拟经营类游戏进行定义,可以总结出一些对模拟经营的大概特征。只是这种特征只是一种带有时代主观性的主流作品总结。除了对模拟经营类游戏进行定义和描述,上述思考的过程和方式也是一种我想传达的分析技巧。
三、理解模拟经营类游戏的设计思路——以星露谷物语为例
在对模拟经营类游戏产生了一个初步的认知之后,可以从一些原始的观念入手,来分析一下星露谷物语中的设计思路,以辅助自己的游戏设计。
3.1 游戏的本质是解决困难
有这样一种说法,游戏的本质就是玩家解决开发者设计的冲突与困难的过程,这个概念可以进一步升级为,游戏是一种基于现有规则和规则下困难的博弈。
这个说法不能概括所有的情况,有的时候游戏是不存在冲突的,进而也就没有博弈概念了。但是它已经可以解释绝大部分的游戏设计了。
比如在英雄联盟中,规则就是开发者提供的英雄技能、装备和地图资源。冲突就是对方玩家,游戏性则来源于在现有规则中和对方玩家的博弈。在这个游戏中,规则(技能、装备、地图)和博弈对象(对方玩家)都会发生变化。
这里的规则会发生变化指的是游戏的更新,比如更新出了新的英雄或者装备,那么规则就发生了变化。
在传统的象棋游戏中,规则就是所有棋子的行动规范,冲突和你对弈的对手。在这个游戏中,规则不会变化,但博弈对象会发生变化。
而在一些平台跳跃游戏,比如蔚蓝中,规则就是主角玛德琳的能力,体力值等游戏机制。而冲突对象则是开发者设计的陷阱。在这个游戏中,博弈对象不会发生变化。这代表着,只要一次博弈是成功的,它就是可以被反复运用的。
利用游戏机制来解决开发者所设计的困难,就是玩家的主要游玩过程。开发者所设计的游戏机制也必然要与困难想匹配。比如在蔚蓝中,有岩壁,主角就会拥有攀爬的能力,又比如在植物大战僵尸中,有矿工僵尸,就会有双向射手。有铁通僵尸,就会有磁力菇。有撑杆跳僵尸,就会有高坚果。
3.2 星露谷物语中的阻尼系数
星露谷物语有一个非常隐式的困难设计,我习惯于用阻尼系数来描述它。
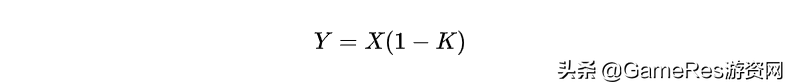
阻尼系数是一个象征概念,在这里它是一个惩罚系数K,比如个人所得税,它就存在一个惩罚系数,你获得的收入越多,你要缴纳的税收就会越多。只是在税收中,惩罚是一组离散的常量值。在很多游戏中,通俗一点来描述,假设玩家获得X的收益,惩罚系数为K的话,玩家可获得的最终收益为Y。

不难发现,当收益越高时,玩家的损失就会越高。但这里的惩罚系数K也是一个常量值。其实惩罚系数K也是可以变化的,而在星露谷物语中,就存在这样的一个隐式的惩罚系数K。
在星露谷物语中,种植作物之后,每天都需要浇水,浇水需要消耗时间和体力。先不考虑时间的影响,认为时间是无限的。浇水只是需要消耗体力,一天所有的时间为体力为E,浇一次水需要消耗的体力为e,那么游戏期望玩家在手动维护时,支持的最大的植物数量C为:

如果所有的体力都用来浇水的话,那么玩家就需要通过额外的道具来补充能量。如果深入思考这件事,它其实就是在说玩家种植的植物越多,则玩家越无法再扩大自己的农场。这就是游戏开发者给玩家设计的隐式困难,那么自然而然地,开发者提供了洒水器来解决这个问题。它的功能有以下几点:

带来了进入矿洞的较强的动机
由于建造洒水器需要矿石,所以洒水器的存在让矿洞存在意义。也诞生了一批围绕矿石而产生的科技设备。
可以通过调整体力参数来对数值设计进行预测和调整
开发者可以清晰的通过每天的时间、玩家的体力来计算玩家前期的收益。
更能让玩家体会到数值提升的快感
数值提升的快感是玩模拟经营类游戏必不可少的点,为了让玩家感受到这点,就必须从动机和解决问题的方式上下手。
这样设计的好处(即不显示地给玩家增加障碍,而是旁敲侧击的利用这个惩罚系数来诱导玩家制作洒水器)主要是提高游戏的自由度,带来更多的选择,加强探索性。利用系统自身的机制来诱导玩家,而非通过书面任务要求去引导玩家要更有沉浸感,更能让玩家代入其中。
3.3 确定整个游戏流程的是升级线路
所以星露谷物语的整体流程,其实就是升级的过程,或者说,开发者所设计的能够影响到游戏的整体体验时长的核心内容,就是这个游戏提供的所有的升级元素。在星露谷物语中有非常多的可以建造的设备。这些设备有的是必要设备,有的则是不必要设备。

那么为什么说游戏的升级路线决定了整个游戏的流程,星露谷物语整体的设计符合之前提到的循环流程,即下图所示:

种蔬菜是为了获得金币,获得了金币之后可以用来购买背包、鱼竿、装备、设备、种子等任何可以提高游戏产出效率的工具。换而言之,即系统通过提高金币产出效率的方式来回收金币。但是系统回收金币的能力是有限的,因为游戏的升级元素不是无限的。
一旦玩家将所有可升级的部分升级完了,这个循环就断了。因为不需要再升级农场了,也就不再需要收益,不再需要收益,也就不需要再种菜或者做其他产出了。因为令玩家乐此不疲的不是产出的过程。
用不同话来说,就是当系统没有可升级的元素时,也就是没有需要解决的困难时,玩家所产出的金币就变成了一个单纯的数字,不再具有实际意义了。
这样的系统结构,个人认为有一个坏处,就是这个从乐趣到乏味的过程,过度的太僵硬了。可以说,就算没有玩过星露谷物语,也可以明显的在某个瞬间感受到它突然变得索然无味了。
3.4 设备的解锁机制与隐式的动机的目的
在《守墓人》这个游戏中,每当玩家进行一些游戏中的操作,比如砍树、挖矿、分解书的时候,都可以获得一些科技点数,通过这些科技点数,可以提升科技。这个,我将这种科技树的解锁类型认为是点数解锁体系,和守墓人相似的是,星露谷物语也是在玩家做操作的时候收集点数,只不过这些点数换了称呼叫经验值,与守墓人不同的是,星露谷物语并不能自由的选择要解锁的东西,解锁顺序是锁死的。这种我习惯于称之为线性解锁体系。
在星露谷物语中,玩家拥有耕种、采矿、觅食、钓鱼、战斗5个技能,每个技能都有10个等级,每当玩家的某个升级的时候,系统都会解锁目标等级下相对应的设备。

比如对于耕种来说,前5级可以解锁的道具如下图所示:

这代表着,玩家必须进行某些操作才可以解锁,看起来游戏没有给玩家明确的任务,但其实游戏很隐式的要求玩家去进行上述的行为,比如耕种、采矿等,否则游戏进度是无法推进的。
这种线性的、必须在玩家达成了某个条件或者完成了某个事件之后才可以达成的目标,对于这类条件,习惯于称之为锁。对于探索性较强的游戏,都会有非常多的锁。需要玩家在游戏地图的各个地方收集道具,来完成游戏提供的目标。
万字长文干货分享:类《空洞骑士》关卡设计研究
这种不给提示,没有书面的任务要求的设计在《空洞骑士》很常见,假设用方块代表锁,用红色的方块代表Boss战,用菱形代表钥匙。下面的图则可以代表一个最简单的银河恶魔城类型的游戏设计。

该图想表达的是一个简单的游戏流程,这种结构的图常见于银河恶魔城类型的游戏设计中,看图所表述的意思,要通过这个游戏,需要玩家通过两个锁,锁1和锁2,获得钥匙1,需要打败Boss_A,但是要见到Boss_A,首先需要打败Boss_B拿到钥匙2。两个Boss都打败后,可以通关这个游戏。
从这个图可以看出,游戏存在十分明确的线性关系。但是为什么游戏从来不会明确的告诉玩家,先去解决Boss_B再去解决Boss_A呢?如果游戏的体量进一步扩大,有锁3,锁4,Boss_C,Boss_D它们之间的锁关系更为复杂,银河恶魔城类型的游戏也不会给你太多提示。大部分的时间,玩家都需要自己探索。
提高自由度,模拟开放世界
总有很多人觉得开放世界就是世界大,其实并不是,而是高自由度,并且在高自由度的前提下,游戏会对你的行为做出充足的反馈。
在一个复杂的银河恶魔城类型的游戏里,即使关卡是线性的,但是从玩家的视角来看,可能完全不一样,在上面的案例中,假设他恰好先遇到了Boss_B,获得了钥匙2,后面打Boss_A的时候就正好用上了,玩家会感觉到这个世界是开放的。因为游戏遵循了他的选择做出了相对应的反馈。
所以在《空洞骑士》中,大部分时候,玩家只是误打误撞的消灭了一个Boss,莫名其妙的拿到了某个道具,但是就是在特殊的地方用上了,系统不太喜欢告诉玩家这个道具有什么,有什么用?自己探索去吧!这种设计是有意而为之,它营造了非常奇妙的开放世界假象。
提供探索动机
这个因具体的设计细节而异了,对于上述的锁或者钥匙,它们都是一个非常抽象的概念,钥匙可能是一个技能、道具、状态或者别的什么东西。当你没有钥匙而遇到了锁时,如果细节处理的够好,可以给玩家留下悬念,从而激发起玩家的好奇心和探索欲望。
那么回到星露谷物语中,有很多小的细节也是隐式的,比如熔炉的蓝图是铁匠克林特给玩家提供的,但是条件是玩家在矿洞挖到第一个铜矿石才会触发。游戏不会强制要求玩家去战斗或者去钓鱼,大部分的时候都是等到玩家积累的经验到了,然后就自动解锁了。毕竟自由,也可以理解为没有要求和限制。
3.5 系统复杂度的权衡
开发者所提供的设备,本质上其实是系统复杂度的设计体现,比如开发者提供了稻草人,并且可以驱赶乌鸦,本质上就是在说它不是一个单纯的装饰物,拥有实际的作用,本质上是耕种的这个系统提供了乌鸦这个敌对元素,乌鸦就是耕种系统一部分,它展现了整个系统的复杂性。
那么在设计这类系统复杂度的时候,是需要进行一定的权衡的。比如在挖矿这个系统功能中,有这样一个设备或者说一个功能。

炼铁是一个很莫名其妙的设计,它可以将三块铜锭直接合并为一个铁锭。除了炼铁,还有炼金。和炼铁差不多,就是将三块铁锭合并为一个金锭。

除了炼铁和炼金,宝石复制机和那个矿工特工的棒棒糖都是多余的东西。简单来说,明显可以感受到在挖矿这个设备集合里,解锁道具不太够用,所以有可能炼金炼铁单纯是为了凑这个解锁列表用的。所以个人想提出的一个疑问就是,到底是因为作者希望挖矿系统不要太复杂,还是挖矿系统没有可以自然融入的设备,因而导致解锁元素不够用。
设备是应对开发者设计的困难而准备的,因而理论上可以无限的增加困难和设备的配对。并且可以量化设备的强度。
1.增加无耦合的游戏功能
可以增加新的游戏功能,但不是乱加。在现有的基础之上,随意的增加游戏元素可能会影响到其他的设备,比如增加一种新的矿石,就是一种耦合度很高的设计,增加了矿石,就必须要考虑新的矿石有什么用,它可以合成其他的设备,其他的设备就会受到影响。它可以送人,Npc的喜好也会受到影响。考虑的不够全面,新增的矿石就会成为一个奇怪的矿石,这就是对耦合度的分析。可以尝试增加一种新的产出线路,比如宝石工艺,可以消耗一定的时间,将金锭和钻石合成为价值更高的钻戒。
这样的设计,直接从现有的素材体系中找到素材,并且衔接到金币上,不产生太多设计冲突。钻戒只是一个代指,也可以是其他的宝石工艺品。相对于宝石复制机这样直接复制宝石的奇怪设备更加自然一些。
2.量化设备强度
耕种系统中有一个设备叫稻草人,可以驱赶乌鸦,乌鸦和稻草人的对立并不会产生任何强度概念。不会有1级乌鸦或者1级稻草人。如果引入等级,让稻草人有劣质稻草人,普通稻草人和精良稻草人,就可以添加更多的设备。不过这会让耕种系统的复杂度提高。
所以权衡系统的复杂度是一个很重要的事情,对于星露谷物语这样的游戏来说,5个系统绝对不是相同的复杂度,最复杂的往往只有一两个,其他的系统大多用于陪衬。
3.6 高自由度和系统复杂性的制衡
虽然很多其他的系统用于陪衬,但是它们的重要性不亚于核心系统。
用于陪衬的系统其实都比较明显,它们体量不会太大,在星露谷物语中,战斗系统和钓鱼系统就是这样的系统。它们的体量不是很大,不构成这个游戏的核心体验。但是它们的存在就好像红花的绿叶,可以提高游戏的自由度。
移除钓鱼系统,整个游戏不会受到致命的结构性影响,一来是因为模拟经营类游戏的系统往往都绑定的比较松散,一旦功能性冗余性很明显的话,那么很容易被删除。
冗余性太明显的意思就是游戏提供的元素用处大多数是重复的,比如在钓鱼系统中,钓上来的鱼的用处主要是制成食品,而食品主要是恢复能量和回血,次要是卖钱。可以发现,其实这个功能已经有很多其他的元素可以满足了,至少农场上大部分的植物都可以满足。从系统功能性而非内容外壳上来看,钓鱼系统的功能冗余性比较明显。
而关于自由度,前面在说隐式动机的设计时候也提高了。严格来说,隐式的动机设计减少了游戏内容展开的线性感,不让游戏节奏过于机械。但是实打实的内容则是前提,如果连游戏系统都没有,也就没有内容可以展开了。
所以策划还需要考虑自由度和系统复杂度的制衡关系。过于复杂的玩法会提升整体的开发难度,也会在无形中提高系统之间的耦合,一旦关联过多的话,就会形成一种牵一发而动全身的窘迫境地。这个时候往往会遇到某些系统设计相互矛盾和冲突。
有点像是写小说的时候不注意设定关系造成的前后矛盾,不得不弃坑的情况。
但话虽这么说,制衡自由度和系统数量以及复杂性非常抽象,或者说,它不是一个工程学问题,而是一个手艺问题。必须要具体问题具体分析,没有统一的解决方案。而且在做功能性设计的时候,考虑的并不完全是功能冗余性,还有很多其他的条件。尤其是模拟经营类游戏,加强模拟要素,提高沉浸感也是一个非常重要的事情。
3.7 沉浸感源于写实
写实指的并不是画面写实,而是剧情和内容的写实。
星露谷物语描述的是鹈鹕镇的故事,故事的主角厌倦了城市的生活,回到了农村,在这里继承了爷爷的农场。这个立意就很好,非常契合现在快节奏的现代化生活,如果偶尔能摆脱快节奏的生活,回归田园是多少人虽不能至,然心向往之的事情。
但是星露谷物语为每个角色都设计了很温馨的小故事,开发者做了很多努力,让玩家融入到这个小镇的生活里。开发者也不会吝啬于将每个人的缺点表现出来。
村长刘易斯,他和牧场主玛尼会在深夜偷情,甚至过分的时候还会把内裤落在了玛尼的房间里。
阿比盖尔喜欢冒险,但是她有的时候十分胆小,害怕打雷。
雷欧的父母在大海中死去了,他一个人住在姜岛上,喜欢与鹦鹉为伴,他也是一个很害羞的人。
克林特喜欢艾米莉,不过可怜的铁匠可能并不知道,艾米莉对他一点感觉都没有。
并不是每个镇民都那么和善,每个人都会有自己的脾气和性格。但是作者想突显的,可能是黑暗中的那一丝光明。每天晚上,镇子上的乞丐莱纳斯都会去各家各户的垃圾桶里翻找食物,他总是很害怕镇民,因为他的帐篷被别人毁坏过。但即使是镇子上的乞丐,格斯也从未吝啬过,在莱纳斯感到惶恐不安的时候,格斯带给他的不是责骂和怨恨,而是面包和朗姆酒。
对于Joja超市的恶行,镇民们会联合起来,赶跑这些有钱自以为是的家伙。作者刻画这些角色,就好像他们真的存在于这个世界上一样,从来不是一个只用于满足游戏功能的Npc,他想要创建的是一个真实而幻想的可爱的世界。这是我觉得模拟经营类游戏最重要、也是最吸引人的点。
一片土地、一些种子、一群小鸡仔还有憨厚的猪和慵懒的小猫,一群可爱的镇民,以及充满人情世故让你感受到现实,却又能在恰到好处的地方,迸发出一点点的爱!
这可能就是模拟经营游戏的魅力所在吧,星露谷物语所刻画的内容,本质上是包含了作者的很多美好的寄托与对生活的遗憾。因为热爱,才能让奉献更为真实,才能在作品中镌刻作者的灵魂。
总结
这次写了很多之前总结的点,但是自己感觉很多东西还是停留在比较浅层的分析,这次涉及到的两个核心方面,一来是对模拟经营类游戏的定性,二来是以星露谷物语为案例对模拟经营类游戏的各类细节的分析。其实还有很多内容想写,但可能对观点的思考与总结尚不成熟,就没有写进来的。
模拟经营本身就是一个很庞杂的概念,它可以融合很多不同的玩法。既可以重于战斗,像《夜勤人》和《波西亚时光》那样,也可以重建造和资源分配,像开罗游戏或者《缺氧》那样,也可以重体验和情节,像《星露谷物语》和《守墓人》一样。在设计中难免遇到非常多的问题和困难,本文就模拟经营的一些特征和已有的优秀案例做了简单的分析和总结。对于文章中的观点的问题、疑惑或者想交流的点,欢迎在评论区留言。
举报评论 11






